Home Browse Text SearchFunctional Group SearchStructure SearchPreferences Administration

selected data collection: 1

IRIS SDF: browse content


1
  <<    <    >    >>  

1:689186 C6H7ClIN
hit structure
1:689187 C8H9NO2
hit structure
1:689188 C22H20O2S
hit structure
1:689189 C16H15F5N2O3S
hit structure
1:689190 C17H24N6O5
hit structure
1:689191 C18H23N3O5
hit structure
1:689192 C27H40N6O7S
hit structure
1:689193 C36H39N5O7
hit structure
1:689194 C15H27N5O3S2
hit structure
1:689195 C9H6N4O3
hit structure
1:689196 C13H16N4O4
hit structure
1:689197 C6H7NO5
hit structure
1:689198 C10H11NO2S
hit structure
1:689199 C8H9NO2
hit structure
1:689200 C10H15NO4
hit structure
1:689201 C14H18N2O6
hit structure
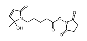
1:689202 C12H19NO6
hit structure
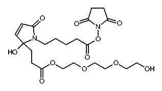
1:689203 C16H22N2O8
hit structure
1:689204 C22H32N2O11
hit structure
1:689205 C17H25N3O5
hit structure
1:689206 C11H16N2O4
hit structure
1:689207 C19H21N3O10
hit structure
1:689208 C9H10O3S
hit structure
1:689209 C26H38N4O7S
hit structure
1:689210 C16H22N4O5
hit structure

1
  <<    <    >    >>  

entries in data collection: 701020