Home Browse Text SearchFunctional Group SearchStructure SearchPreferences Administration

selected data collection: 1

IRIS SDF: browse content


1
  <<    <    >    >>  

1:689161 C15H15N7O2S
hit structure
1:689162 C12H9N3O3S
hit structure
1:689163 C30H23N5O3S
hit structure
1:689164 C12H22N4O6
hit structure
1:689165 C15H20N2O5S
hit structure
1:689166 C16H12N2O6
hit structure
1:689167 C7H12N4O3
hit structure
1:689168 C8H14N4O3
hit structure
1:689169 C12H22N4O7
hit structure
1:689170 C23H28N4O5
hit structure
1:689171 C23H30N2O5
hit structure
1:689172 C27H34N2O8
hit structure
1:689173 C27H34N2O9
hit structure
1:689174 C14H22N4O6
hit structure
1:689175 C12H17NO7
hit structure
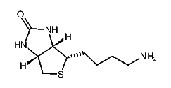
1:689176 C8H15N3O2
hit structure
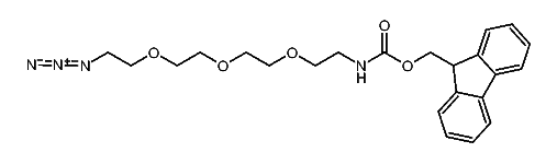
1:689177 C12H22F6N6OP2
hit structure
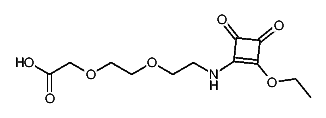
1:689178 C12H17NO5Si
hit structure
1:689179 C5H6N2O
hit structure
1:689180 C24H37N5O3S3
hit structure
1:689181 C20H29N5O5S
hit structure
1:689182 C23H33N5O7S
hit structure
1:689183 C22H34N4O5S
hit structure
1:689184 C9H17N3OS
hit structure
1:689185 C20H17Cl
hit structure

1
  <<    <    >    >>  

entries in data collection: 701020