Home Browse Text SearchFunctional Group SearchStructure SearchPreferences Administration

selected data collection: 1

IRIS SDF: browse content


1
  <<    <    >    >>  

1:689211 C19H25NO6
hit structure
1:689212 C10H15N3O2
hit structure
1:689213 C13H28BrN5O4
hit structure
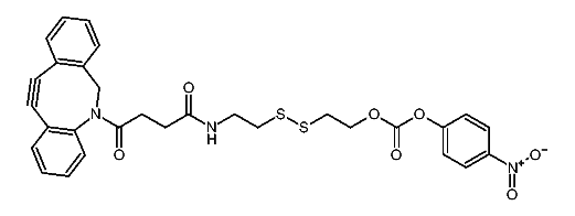
1:689214 C31H26N2O7S2
hit structure
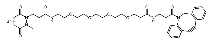
1:689215 C35H29N3O7S2
hit structure
1:689216 C30H27N3O7S2
hit structure
1:689217 C30H57N3O13
hit structure
1:689218 C50H61N3O13
hit structure
1:689219 C13H26N2O5
hit structure
1:689220 C28H31NO5S
hit structure
1:689221 C13H8O3
hit structure
1:689222 C8H5N3S
hit structure
1:689223 C6H3Br2NO4
hit structure
1:689224 C8H8Br2N2O4
hit structure
1:689225 C37H43Br2N5O9
hit structure
1:689226 C6H4BrNO4
hit structure
1:689227 C35H39BrN4O9
hit structure
1:689228 C9H13BrN2O4
hit structure
1:689229 C38H48BrN5O9
hit structure
1:689230 C32H36N2O8
hit structure
1:689231 C23H20N2O2
hit structure
1:689232 C30H34N2O6
hit structure
1:689233 C16H15N3O
hit structure
1:689234 C21H25N3O5
hit structure
1:689235 C19H21N5O2S
hit structure

1
  <<    <    >    >>  

entries in data collection: 701020