Home Browse Text SearchFunctional Group SearchStructure SearchPreferences Administration

selected data collection: 1

IRIS SDF: browse content


1
  <<    <    >    >>  

1:688586 C159H310N7O65P
hit structure
1:688587 C165H298N3O64P
hit structure
1:688588 C164H319N6O65PS
hit structure
1:688589 C201H390N5O86P
hit structure
1:688590 C237H460N12O112
hit structure
1:688591 C141H256N12O64
hit structure
1:688592 C10H19BrN4O4
hit structure
1:688593 C26H51BrN4O12
hit structure
1:688594 C50H99BrN4O24
hit structure
1:688595 C10H24N4O5S
hit structure
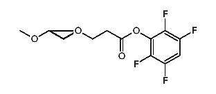
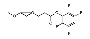
1:688596 C17H22F4O7
hit structure
1:688597 C33H54F4O15
hit structure
1:688598 C57H102F4O27
hit structure
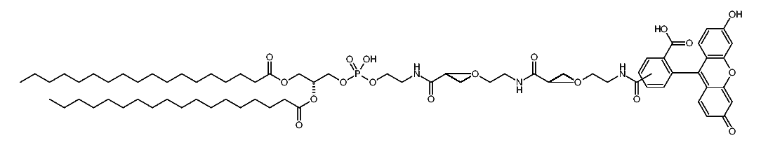
1:688599 C94H149N5O39
hit structure
1:688600 C32H52F4O14
hit structure
1:688601 C56H100F4O26
hit structure
1:688602 C58H104F4O27
hit structure
1:688603 C68H114N2O26
hit structure
1:688604 C45H68N2O14
hit structure
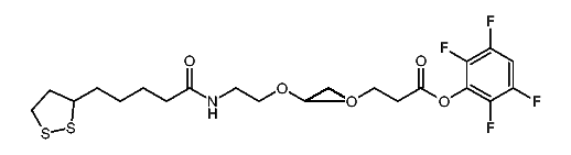
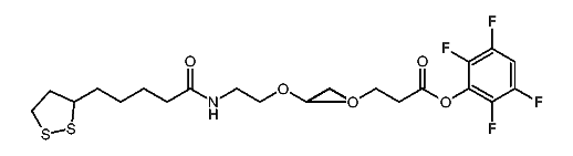
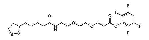
1:688605 C25H35F4NO7S2
hit structure
1:688606 C33H51F4NO11S2
hit structure
1:688607 C41H67F4NO15S2
hit structure
1:688608 C65H115F4NO27S2
hit structure
1:688609 C89H163F4NO39S2
hit structure
1:688610 C66H126N4O26S3
hit structure

1
  <<    <    >    >>  

entries in data collection: 712280