Home Browse Text SearchFunctional Group SearchStructure SearchPreferences Administration

selected data collection: 1

IRIS SDF: browse content


1
  <<    <    >    >>  

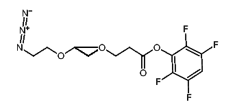
1:688611 C20H20F4N2O7
hit structure
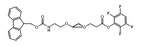
1:688612 C24H28F4N2O9
hit structure
1:688613 C32H44F4N2O13
hit structure
1:688614 C40H60F4N2O17
hit structure
1:688615 C64H108F4N2O29
hit structure
1:688616 C88H156F4N2O41
hit structure
1:688617 C115H209F4N3O54
hit structure
1:688618 C19H24BrF4NO7
hit structure
1:688619 C35H56BrF4NO15
hit structure
1:688620 C59H104BrF4NO27
hit structure
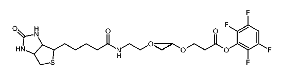
1:688621 C44H70N4O18
hit structure
1:688622 C57H101F4N3O26
hit structure
1:688623 C81H149F4N3O38
hit structure
1:688624 C140H246N12O64
hit structure
1:688625 C120H230Br4N8O56
hit structure
1:688626 C53H108N2O25
hit structure
1:688627 C26H45NO15
hit structure
1:688628 C58H109NO31
hit structure
1:688629 C67H117F4N3O28S
hit structure
1:688630 C31H44F4N4O9S
hit structure
1:688631 C47H76F4N4O17S
hit structure
1:688632 C32H33F4NO8
hit structure
1:688633 C40H49F4NO12
hit structure
1:688634 C48H65F4NO16
hit structure
1:688635 C72H113F4NO28
hit structure

1
  <<    <    >    >>  

entries in data collection: 712280