Home Browse Text SearchFunctional Group SearchStructure SearchPreferences Administration

selected data collection: 1

IRIS SDF: browse content


1
  <<    <    >    >>  

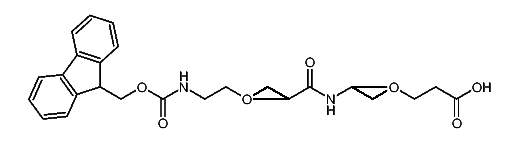
1:688561 C17H21F4N3O6
hit structure
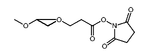
1:688562 C33H53F4N3O14
hit structure
1:688563 C47H83N7O21
hit structure
1:688564 C86H159N3O43
hit structure
1:688565 C71H131N7O33
hit structure
1:688566 C28H56O15
hit structure
1:688567 C32H59NO17
hit structure
1:688568 C34H56F4O15
hit structure
1:688569 C150H289N4O61P
hit structure
1:688570 C30H49BrF6N6O15
hit structure
1:688571 C118H233N2O46P
hit structure
1:688572 C42H79BrN6O19
hit structure
1:688573 C144H285N2O59P
hit structure
1:688574 C109H205F4NO52
hit structure
1:688575 C25H28O3S
hit structure
1:688576 C103H205NO52
hit structure
1:688577 C78H151BrN6O31
hit structure
1:688578 C117H214N2O53
hit structure
1:688579 C110H210N2O53
hit structure
1:688580 C102H204N2O51
hit structure
1:688581 C28H54Br2N2O13
hit structure
1:688582 C193H296N12O60
hit structure
1:688583 C64H82N4O15
hit structure
1:688584 C93H184NO34P
hit structure
1:688585 C163H299N4O60P
hit structure

1
  <<    <    >    >>  

entries in data collection: 712280