Home Browse Text SearchFunctional Group SearchStructure SearchPreferences Administration

selected data collection: 1

IRIS SDF: browse content


1
  <<    <    >    >>  

1:648957 C28H50N4O6S3
hit structure
1:648958 C42H78N4O14S3
hit structure
1:648959 C17H33NO5S2
hit structure
1:648960 C25H49NO9S2
hit structure
1:648961 C33H65NO13S2
hit structure
1:648962 C57H113NO25S2
hit structure
1:648963 C33H59NO17S
hit structure
1:648964 C79H159NO38
hit structure
1:648965 C48H99NO24
hit structure
1:648966 C72H147NO36
hit structure
1:648967 C8H17N3O4
hit structure
1:648968 C48H97N3O24
hit structure
1:648969 C72H145N3O36
hit structure
1:648970 C26H52O13S
hit structure
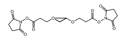
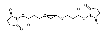
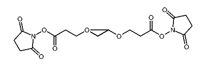
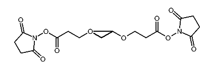
1:648971 C22H36N2O11
hit structure
1:648972 C87H161N3O41S2
hit structure
1:648973 C26H40N2O15
hit structure
1:648974 C38H64N2O21
hit structure
1:648975 C46H80N2O25
hit structure
1:648976 C54H96N2O29
hit structure
1:648977 C62H112N2O33
hit structure
1:648978 C24H22F8O8
hit structure
1:648979 C66H106F8O29
hit structure
1:648980 C16H20N2O10
hit structure
1:648981 C18H24N2O11
hit structure

1
  <<    <    >    >>  

entries in data collection: 650350