Home Browse Text SearchFunctional Group SearchStructure SearchPreferences Administration

selected data collection: 1

IRIS SDF: browse content


1
  <<    <    >    >>  

1:648982 C19H37N3O10
hit structure
1:648983 C27H53N3O14
hit structure
1:648984 C51H101N3O26
hit structure
1:648985 C24H49N3O11
hit structure
1:648986 C32H65N3O15
hit structure
1:648987 C65H120N4O30S
hit structure
1:648988 C61H117N3O28S
hit structure
1:648989 C112H218N4O53S
hit structure
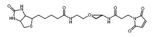
1:648990 C26H50N4O9S
hit structure
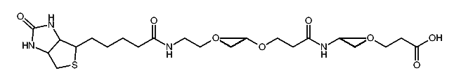
1:648991 C34H66N4O13S
hit structure
1:648992 C58H114N4O25S
hit structure
1:648993 C65H119N5O28S
hit structure
1:648994 C26H48N6O9S
hit structure
1:648995 C34H64N6O13S
hit structure
1:648996 C58H112N6O25S
hit structure
1:648997 C24H29NO7
hit structure
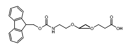
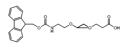
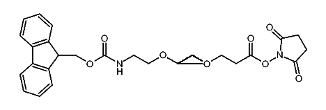
1:648998 C28H37NO9
hit structure
1:648999 C90H161NO40
hit structure
1:649000 C30H36N2O10
hit structure
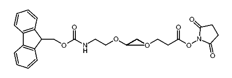
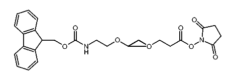
1:649001 C38H52N2O14
hit structure
1:649002 C46H68N2O18
hit structure
1:649003 C42H59N5O11S
hit structure
1:649004 C58H91N5O19S
hit structure
1:649005 C56H111NO28
hit structure
1:649006 C80H159NO40
hit structure

1
  <<    <    >    >>  

entries in data collection: 650350