Home Browse Text SearchFunctional Group SearchStructure SearchPreferences Administration

selected data collection: 1

IRIS SDF: browse content


1
  <<    <    >    >>  

1:648932 C6H11IN4O2
hit structure
1:648933 C6H11IN4O2
hit structure
1:648934 C6H11IN4O2
hit structure
1:648935 C80H155NO41
hit structure
1:648936 C76H152O39
hit structure
1:648937 C102H203NO51
hit structure
1:648938 C47H96O24
hit structure
1:648939 C73H148O37
hit structure
1:648940 C31H65NO15
hit structure
1:648941 C73H149NO36
hit structure
1:648942 C97H197NO48
hit structure
1:648943 C75H151NO38
hit structure
1:648944 C80H154N2O39
hit structure
1:648945 C104H202N2O51
hit structure
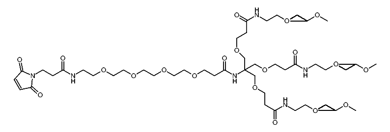
1:648946 C178H346N6O86
hit structure
1:648947 C73H147N3O36
hit structure
1:648948 C27H54O14S
hit structure
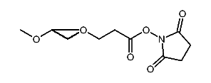
1:648949 C9H20O4S
hit structure
1:648950 C17H36O8S
hit structure
1:648951 C25H52O12S
hit structure
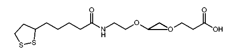
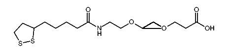
1:648952 C19H35NO7S2
hit structure
1:648953 C27H51NO11S2
hit structure
1:648954 C59H115NO27S2
hit structure
1:648955 C25H41N3O7S2
hit structure
1:648956 C39H69N3O15S2
hit structure

1
  <<    <    >    >>  

entries in data collection: 650350