Home Browse Text SearchFunctional Group SearchStructure SearchPreferences Administration

selected data collection: 1

IRIS SDF: browse content


1
  <<    <    >    >>  

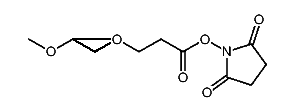
1:615376 C28H56O15
hit structure
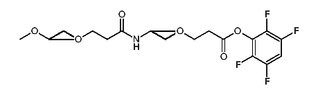
1:615377 C32H59NO17
hit structure
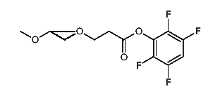
1:615378 C34H56F4O15
hit structure
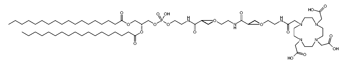
1:615379 C150H289N4O61P
hit structure
1:615380 C30H49BrF6N6O15
hit structure
1:615381 C118H233N2O46P
hit structure
1:615382 C42H79BrN6O19
hit structure
1:615383 C144H285N2O59P
hit structure
1:615384 C109H205F4NO52
hit structure
1:615385 C25H28O3S
hit structure
1:615386 C103H205NO52
hit structure
1:615387 C78H151BrN6O31
hit structure
1:615388 C117H214N2O53
hit structure
1:615389 C110H210N2O53
hit structure
1:615390 C102H204N2O51
hit structure
1:615391 C28H54Br2N2O13
hit structure
1:615392 C193H296N12O60
hit structure
1:615393 C64H82N4O15
hit structure
1:615394 C93H184NO34P
hit structure
1:615395 C163H299N4O60P
hit structure
1:615396 C159H310N7O65P
hit structure
1:615397 C165H298N3O64P
hit structure
1:615398 C164H319N6O65PS
hit structure
1:615399 C201H390N5O86P
hit structure
1:615400 C237H460N12O112
hit structure

1
  <<    <    >    >>  

entries in data collection: 616570