Home Browse Text SearchFunctional Group SearchStructure SearchPreferences Administration

selected data collection: 1

IRIS SDF: browse content


1
  <<    <    >    >>  

1:615351 C71H118BrN3O27
hit structure
1:615352 C11H17NO5
hit structure
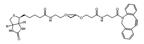
1:615353 C55H83N5O16S
hit structure
1:615354 C33H45N3O12
hit structure
1:615355 C66H79N3O20
hit structure
1:615356 C13H28N2O5
hit structure
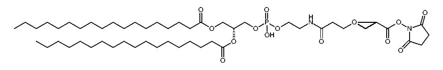
1:615357 C75H141N2O26P
hit structure
1:615358 C45H73F4N5O13
hit structure
1:615359 C69H136NO22P
hit structure
1:615360 C61H105F4N5O21
hit structure
1:615361 C108H203F4NO51
hit structure
1:615362 C85H153F4N5O33
hit structure
1:615363 C53H105NO27
hit structure
1:615364 C33H49F4N5O13
hit structure
1:615365 C59H105F4NO27
hit structure
1:615366 C49H81F4N5O21
hit structure
1:615367 C24H50N4O12
hit structure
1:615368 C73H129F4N5O33
hit structure
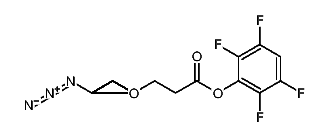
1:615369 C28H36F4N2O11
hit structure
1:615370 C59H107N7O21
hit structure
1:615371 C17H21F4N3O6
hit structure
1:615372 C33H53F4N3O14
hit structure
1:615373 C47H83N7O21
hit structure
1:615374 C86H159N3O43
hit structure
1:615375 C71H131N7O33
hit structure

1
  <<    <    >    >>  

entries in data collection: 616570