Home Browse Text SearchFunctional Group SearchStructure SearchPreferences Administration

selected data collection: 1

IRIS SDF: browse content


1
  <<    <    >    >>  

1:615401 C141H256N12O64
hit structure
1:615402 C10H19BrN4O4
hit structure
1:615403 C26H51BrN4O12
hit structure
1:615404 C50H99BrN4O24
hit structure
1:615405 C10H24N4O5S
hit structure
1:615406 C17H22F4O7
hit structure
1:615407 C33H54F4O15
hit structure
1:615408 C57H102F4O27
hit structure
1:615409 C94H149N5O39
hit structure
1:615410 C32H52F4O14
hit structure
1:615411 C56H100F4O26
hit structure
1:615412 C58H104F4O27
hit structure
1:615413 C68H114N2O26
hit structure
1:615414 C45H68N2O14
hit structure
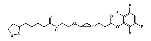
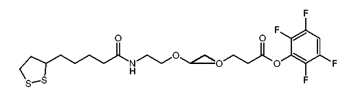
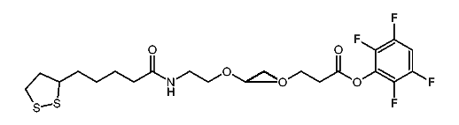
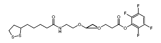
1:615415 C25H35F4NO7S2
hit structure
1:615416 C33H51F4NO11S2
hit structure
1:615417 C41H67F4NO15S2
hit structure
1:615418 C65H115F4NO27S2
hit structure
1:615419 C89H163F4NO39S2
hit structure
1:615420 C66H126N4O26S3
hit structure
1:615421 C20H20F4N2O7
hit structure
1:615422 C24H28F4N2O9
hit structure
1:615423 C32H44F4N2O13
hit structure
1:615424 C40H60F4N2O17
hit structure
1:615425 C64H108F4N2O29
hit structure

1
  <<    <    >    >>  

entries in data collection: 616570