Home Browse Text SearchFunctional Group SearchStructure SearchPreferences Administration

selected data collection: 1

IRIS SDF: browse content


1
  <<    <    >    >>  

1:530741 C22H36N2O11
hit structure
1:530742 C87H161N3O41S2
hit structure
1:530743 C26H40N2O15
hit structure
1:530744 C38H64N2O21
hit structure
1:530745 C46H80N2O25
hit structure
1:530746 C54H96N2O29
hit structure
1:530747 C62H112N2O33
hit structure
1:530748 C24H22F8O8
hit structure
1:530749 C66H106F8O29
hit structure
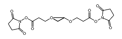
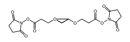
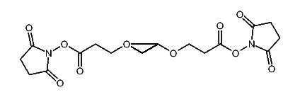
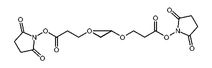
1:530750 C16H20N2O10
hit structure
1:530751 C18H24N2O11
hit structure
1:530752 C19H37N3O10
hit structure
1:530753 C27H53N3O14
hit structure
1:530754 C51H101N3O26
hit structure
1:530755 C24H49N3O11
hit structure
1:530756 C32H65N3O15
hit structure
1:530757 C65H120N4O30S
hit structure
1:530758 C61H117N3O28S
hit structure
1:530759 C112H218N4O53S
hit structure
1:530760 C26H50N4O9S
hit structure
1:530761 C34H66N4O13S
hit structure
1:530762 C58H114N4O25S
hit structure
1:530763 C65H119N5O28S
hit structure
1:530764 C26H48N6O9S
hit structure
1:530765 C34H64N6O13S
hit structure

1
  <<    <    >    >>  

entries in data collection: 537750