Home Browse Text SearchFunctional Group SearchStructure SearchPreferences Administration

selected data collection: 1

IRIS SDF: browse content


1
  <<    <    >    >>  

1:530766 C58H112N6O25S
hit structure
1:530767 C24H29NO7
hit structure
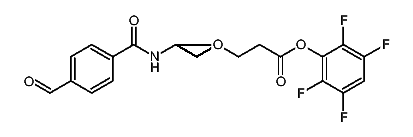
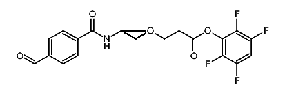
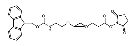
1:530768 C28H37NO9
hit structure
1:530769 C90H161NO40
hit structure
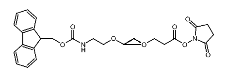
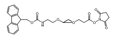
1:530770 C30H36N2O10
hit structure
1:530771 C38H52N2O14
hit structure
1:530772 C46H68N2O18
hit structure
1:530773 C42H59N5O11S
hit structure
1:530774 C58H91N5O19S
hit structure
1:530775 C56H111NO28
hit structure
1:530776 C80H159NO40
hit structure
1:530777 C83H157NO40
hit structure
1:530778 C47H70O15S
hit structure
1:530779 C39H60N2O19
hit structure
1:530780 C26H29NO4
hit structure
1:530781 C29H60N2O14
hit structure
1:530782 C34H66N4O14S
hit structure
1:530783 C41H59F4NO16
hit structure
1:530784 C65H107F4NO28
hit structure
1:530785 C34H65N3O13S2
hit structure
1:530786 C12H15NO5
hit structure
1:530787 C16H20N2O2S4
hit structure
1:530788 C16H20N2O2S4
hit structure
1:530789 C16H20N2O2S4
hit structure
1:530790 C16H20N2O2S4
hit structure

1
  <<    <    >    >>  

entries in data collection: 537750