Home Browse Text SearchFunctional Group SearchStructure SearchPreferences Administration

selected data collection: 1

IRIS SDF: browse content


1
  <<    <    >    >>  

1:530716 C178H346N6O86
hit structure
1:530717 C73H147N3O36
hit structure
1:530718 C27H54O14S
hit structure
1:530719 C9H20O4S
hit structure
1:530720 C17H36O8S
hit structure
1:530721 C25H52O12S
hit structure
1:530722 C19H35NO7S2
hit structure
1:530723 C27H51NO11S2
hit structure
1:530724 C59H115NO27S2
hit structure
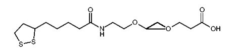
1:530725 C25H41N3O7S2
hit structure
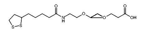
1:530726 C39H69N3O15S2
hit structure
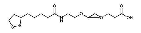
1:530727 C28H50N4O6S3
hit structure
1:530728 C42H78N4O14S3
hit structure
1:530729 C17H33NO5S2
hit structure
1:530730 C25H49NO9S2
hit structure
1:530731 C33H65NO13S2
hit structure
1:530732 C57H113NO25S2
hit structure
1:530733 C33H59NO17S
hit structure
1:530734 C79H159NO38
hit structure
1:530735 C48H99NO24
hit structure
1:530736 C72H147NO36
hit structure
1:530737 C8H17N3O4
hit structure
1:530738 C48H97N3O24
hit structure
1:530739 C72H145N3O36
hit structure
1:530740 C26H52O13S
hit structure

1
  <<    <    >    >>  

entries in data collection: 639090