Home Browse Text SearchFunctional Group SearchStructure SearchPreferences Administration

selected data collection: 1

IRIS SDF: browse content


1
  <<    <    >    >>  

1:774828 C14H19NO4
hit structure
1:774829 C14H19NO4
hit structure
1:774830 C14H19NO4
hit structure
1:774831 C22H34N2O8
hit structure
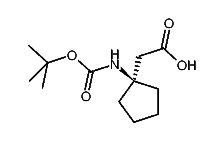
1:774832 C12H21NO4
hit structure
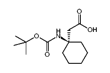
1:774833 C13H23NO4
hit structure
1:774834 C14H25NO4
hit structure
1:774835 C15H27NO4
hit structure
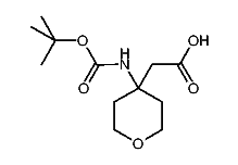
1:774836 C12H21NO5
hit structure
1:774837 C10H17NO4
hit structure
1:774838 C11H19NO4
hit structure
1:774839 C12H21NO4
hit structure
1:774840 C22H38N2O8
hit structure
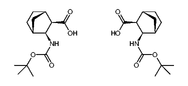
1:774841 C26H42N2O8
hit structure
1:774842 C26H38N2O8
hit structure
1:774843 C28H50N2O8
hit structure
1:774844 C28H46N2O8
hit structure
1:774845 C24H42N2O8
hit structure
1:774846 C26H46N2O8
hit structure
1:774847 C26H46N2O8
hit structure
1:774848 C28H46N2O8
hit structure
1:774849 C11H21NO4
hit structure
1:774850 C12H23NO4
hit structure
1:774851 C13H25NO4
hit structure
1:774852 C14H27NO4
hit structure

1
  <<    <    >    >>  

entries in data collection: 779840