Home Browse Text SearchFunctional Group SearchStructure SearchPreferences Administration

selected data collection: 1

IRIS SDF: browse content


1
  <<    <    >    >>  

1:774803 C12H21NO4
hit structure
1:774804 C12H21NO4
hit structure
1:774805 C12H21NO4
hit structure
1:774806 C12H21NO4
hit structure
1:774807 C12H21NO4
hit structure
1:774808 C16H29NO5
hit structure
1:774809 C16H21NO4
hit structure
1:774810 C16H21NO4
hit structure
1:774811 C16H27NO4
hit structure
1:774812 C32H42N2O8
hit structure
1:774813 C32H42N2O8
hit structure
1:774814 C15H21NO4
hit structure
1:774815 C15H21NO4
hit structure
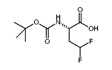
1:774816 C9H15F2NO4
hit structure
1:774817 C9H14F3NO4
hit structure
1:774818 C10H19NO4
hit structure
1:774819 C10H19NO4
hit structure
1:774820 C19H21NO4
hit structure
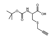
1:774821 C13H24N2O5S2
hit structure
1:774822 C9H15F2NO4
hit structure
1:774823 C14H28N2O4
hit structure
1:774824 C11H17NO4S
hit structure
1:774825 C10H15NO5
hit structure
1:774826 C11H17NO5
hit structure
1:774827 C17H21NO5
hit structure

1
  <<    <    >    >>  

entries in data collection: 779840