Home Browse Text SearchFunctional Group SearchStructure SearchPreferences Administration

selected data collection: 1

IRIS SDF: browse content


1
  <<    <    >    >>  

1:767414 C50H99BrN4O24
hit structure
1:767415 C10H24N4O5S
hit structure
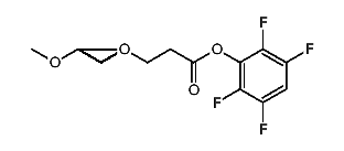
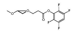
1:767416 C17H22F4O7
hit structure
1:767417 C33H54F4O15
hit structure
1:767418 C57H102F4O27
hit structure
1:767419 C94H149N5O39
hit structure
1:767420 C32H52F4O14
hit structure
1:767421 C56H100F4O26
hit structure
1:767422 C58H104F4O27
hit structure
1:767423 C68H114N2O26
hit structure
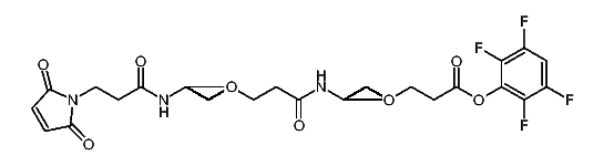
1:767424 C45H68N2O14
hit structure
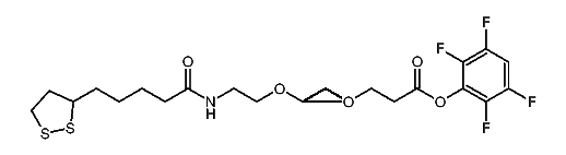
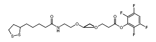
1:767425 C25H35F4NO7S2
hit structure
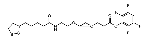
1:767426 C33H51F4NO11S2
hit structure
1:767427 C41H67F4NO15S2
hit structure
1:767428 C65H115F4NO27S2
hit structure
1:767429 C89H163F4NO39S2
hit structure
1:767430 C66H126N4O26S3
hit structure
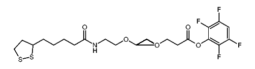
1:767431 C20H20F4N2O7
hit structure
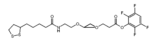
1:767432 C24H28F4N2O9
hit structure
1:767433 C32H44F4N2O13
hit structure
1:767434 C40H60F4N2O17
hit structure
1:767435 C64H108F4N2O29
hit structure
1:767436 C88H156F4N2O41
hit structure
1:767437 C115H209F4N3O54
hit structure
1:767438 C19H24BrF4NO7
hit structure

1
  <<    <    >    >>  

entries in data collection: 774210