Home Browse Text SearchFunctional Group SearchStructure SearchPreferences Administration

selected data collection: 1

IRIS SDF: browse content


1
  <<    <    >    >>  

1:767389 C150H289N4O61P
hit structure
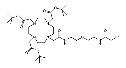
1:767390 C30H49BrF6N6O15
hit structure
1:767391 C118H233N2O46P
hit structure
1:767392 C42H79BrN6O19
hit structure
1:767393 C144H285N2O59P
hit structure
1:767394 C109H205F4NO52
hit structure
1:767395 C25H28O3S
hit structure
1:767396 C103H205NO52
hit structure
1:767397 C78H151BrN6O31
hit structure
1:767398 C117H214N2O53
hit structure
1:767399 C110H210N2O53
hit structure
1:767400 C102H204N2O51
hit structure
1:767401 C28H54Br2N2O13
hit structure
1:767402 C193H296N12O60
hit structure
1:767403 C64H82N4O15
hit structure
1:767404 C93H184NO34P
hit structure
1:767405 C163H299N4O60P
hit structure
1:767406 C159H310N7O65P
hit structure
1:767407 C165H298N3O64P
hit structure
1:767408 C164H319N6O65PS
hit structure
1:767409 C201H390N5O86P
hit structure
1:767410 C237H460N12O112
hit structure
1:767411 C141H256N12O64
hit structure
1:767412 C10H19BrN4O4
hit structure
1:767413 C26H51BrN4O12
hit structure

1
  <<    <    >    >>  

entries in data collection: 774210