Home Browse Text SearchFunctional Group SearchStructure SearchPreferences Administration

selected data collection: 1

IRIS SDF: browse content


1
  <<    <    >    >>  

1:766609 C90H106N12O13S3
hit structure
1:766610 C16H28N4O4S
hit structure
1:766611 C46H50N10O9
hit structure
1:766612 C55H65N7O12
hit structure
1:766613 C51H53N7O16
hit structure
1:766614 C48H63N13O10
hit structure
1:766615 C23H34N4O4S3
hit structure
1:766616 C14H20N4O4
hit structure
1:766617 C16H15N5
hit structure
1:766618 C27H38D6O2
hit structure
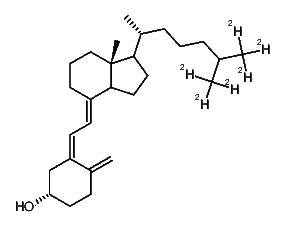
1:766619 C27H40D6O2
hit structure
1:766620 C27H38D6O
hit structure
1:766621 C27H38D6O2
hit structure
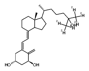
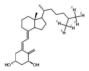
1:766622 C27H38D6O3
hit structure
1:766623 C27H41D3O
hit structure
1:766624 C27H38D6O
hit structure
1:766625 C27H40D6O
hit structure
1:766626 C28H38D6O2
hit structure
1:766627 C28H38D6O2
hit structure
1:766628 C28H38D6O3
hit structure
1:766629 C28H41D3O
hit structure
1:766630 C28H38D6O
hit structure
1:766631 C29H47D3O2
hit structure
1:766632 C29H44D6O2
hit structure
1:766633 C31H46D6O3
hit structure

1
  <<    <    >    >>  

entries in data collection: 768580