Home Browse Text SearchFunctional Group SearchStructure SearchPreferences Administration

selected data collection: 1

IRIS SDF: browse content


1
  <<    <    >    >>  

1:766584 C28H34N2O8
hit structure
1:766585 C27H32N2O8
hit structure
1:766586 C43H55N5O11S
hit structure
1:766587 C47H47N3O9
hit structure
1:766588 C32H40N2O10
hit structure
1:766589 C46H46N2O8S
hit structure
1:766590 C48H49N3O9
hit structure
1:766591 C33H42N2O10
hit structure
1:766592 C26H30N2O8
hit structure
1:766593 C49H48N4O8
hit structure
1:766594 C30H38N2O8
hit structure
1:766595 C30H38N2O8
hit structure
1:766596 C35H47N3O10
hit structure
1:766597 C29H36N2O8S
hit structure
1:766598 C33H36N2O8
hit structure
1:766599 C31H40N2O9
hit structure
1:766600 C32H42N2O9
hit structure
1:766601 C40H45N3O10
hit structure
1:766602 C37H44N2O9
hit structure
1:766603 C29H36N2O8
hit structure
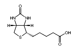
1:766604 C10H16N2O3S
hit structure
1:766605 C7H19N3
hit structure
1:766606 C51H70N10O15S2
hit structure
1:766607 C51H61F9N10O15S2
hit structure
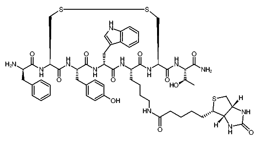
1:766608 C55H72N12O11S3
hit structure

1
  <<    <    >    >>  

entries in data collection: 768580