Home Browse Text SearchFunctional Group SearchStructure SearchPreferences Administration

selected data collection: 1

IRIS SDF: browse content


1
  <<    <    >    >>  

1:762630 C29H33NO5
hit structure
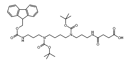
1:762631 C40H42N2O7
hit structure
1:762632 C89H91N7O14
hit structure
1:762633 C96H98N8O15
hit structure
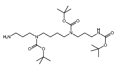
1:762634 C25H50N4O6
hit structure
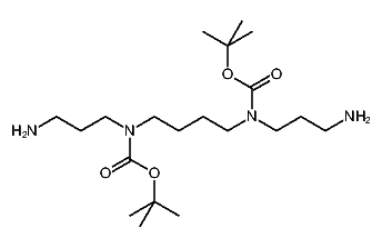
1:762635 C20H42N4O4
hit structure
1:762636 C39H56N4O9
hit structure
1:762637 C10H24N6
hit structure
1:762638 C31H58N4O10
hit structure
1:762639 C20H42N4O4
hit structure
1:762640 C10H22N8
hit structure
1:762641 C29H54N4O9
hit structure
1:762642 C25H48N6O6
hit structure
1:762643 C28H50N4O10
hit structure
1:762644 CH2Cl2
hit structure
1:762645 C3H7NO
hit structure
1:762646 C4H10O
hit structure
1:762647 C3H2F6O
hit structure
1:762648 C5H9NO
hit structure
1:762649 C5H11N
hit structure
1:762650 C2HF3O2
hit structure
1:762651 C2H3F3O
hit structure
1:762652 C5H9NO
hit structure
1:762653 C6H14O3S
hit structure
1:762654 C19H17P
hit structure

1
  <<    <    >    >>  

entries in data collection: 762950