Home Browse Text SearchFunctional Group SearchStructure SearchPreferences Administration

selected data collection: 1

IRIS SDF: browse content


1
  <<    <    >    >>  

1:762605 C52H47N3O7
hit structure
1:762606 C27H29NO5
hit structure
1:762607 C43H52N4O8S
hit structure
1:762608 C44H54N4O8S
hit structure
1:762609 C47H44N2O6
hit structure
1:762610 C32H37NO7
hit structure
1:762611 C46H43NO5S
hit structure
1:762612 C30H34N2O6S
hit structure
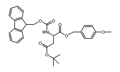
1:762613 C31H37NO5S
hit structure
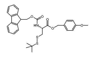
1:762614 C31H37NO5S2
hit structure
1:762615 C48H46N2O6
hit structure
1:762616 C33H39NO7
hit structure
1:762617 C26H27NO5
hit structure
1:762618 C49H45N3O5
hit structure
1:762619 C30H35NO5
hit structure
1:762620 C30H35NO5
hit structure
1:762621 C35H44N2O7
hit structure
1:762622 C29H33NO5S
hit structure
1:762623 C30H35NO5
hit structure
1:762624 C34H42N2O7
hit structure
1:762625 C33H33NO5
hit structure
1:762626 C29H31NO5
hit structure
1:762627 C31H37NO6
hit structure
1:762628 C32H39NO6
hit structure
1:762629 C37H41NO6
hit structure

1
  <<    <    >    >>  

entries in data collection: 762950