Home Browse Text SearchFunctional Group SearchStructure SearchPreferences Administration

selected data collection: 1

IRIS SDF: browse content


1
  <<    <    >    >>  

1:750579 C24H40N4O7S
hit structure
1:750580 C20H38N4O5S
hit structure
1:750581 C24H46N4O13
hit structure
1:750582 C11H21NO6
hit structure
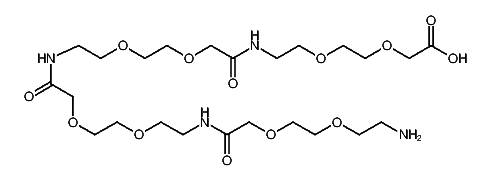
1:750583 C29H52N8O8S3
hit structure
1:750584 C44H60N6O9S3
hit structure
1:750585 C13H26N4O5
hit structure
1:750586 C14H24O7
hit structure
1:750587 C25H31NO7
hit structure
1:750588 C27H35NO8
hit structure
1:750589 C29H39NO9
hit structure
1:750590 C31H43NO10
hit structure
1:750591 C20H27N3O7S2
hit structure
1:750592 C20H27N3O7S2
hit structure
1:750593 C20H27N3O7S2
hit structure
1:750594 C20H27N3O7S2
hit structure
1:750595 C5H12O3
hit structure
1:750596 C37H33N3O3
hit structure
1:750597 C37H33N3O3
hit structure
1:750598 C38H57NO14
hit structure
1:750599 C40H35N7O7
hit structure
1:750600 C39H35N5O8
hit structure
1:750601 C40H35N7O8
hit structure
1:750602 C26H26N4O7
hit structure
1:750603 C25H24N4O7
hit structure

1
  <<    <    >    >>  

entries in data collection: 751690