Home Browse Text SearchFunctional Group SearchStructure SearchPreferences Administration

selected data collection: 1

IRIS SDF: browse content


1
  <<    <    >    >>  

1:750554 C140H246N12O64
hit structure
1:750555 C120H230Br4N8O56
hit structure
1:750556 C53H108N2O25
hit structure
1:750557 C26H45NO15
hit structure
1:750558 C58H109NO31
hit structure
1:750559 C67H117F4N3O28S
hit structure
1:750560 C31H44F4N4O9S
hit structure
1:750561 C47H76F4N4O17S
hit structure
1:750562 C32H33F4NO8
hit structure
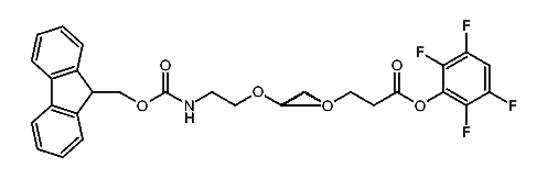
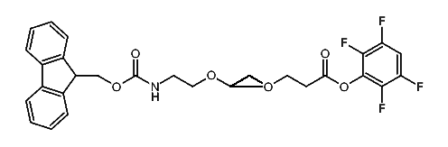
1:750563 C40H49F4NO12
hit structure
1:750564 C48H65F4NO16
hit structure
1:750565 C72H113F4NO28
hit structure
1:750566 C96H161F4NO40
hit structure
1:750567 C18H35NO8
hit structure
1:750568 C13H28N2O5
hit structure
1:750569 C15H32N2O6
hit structure
1:750570 C72H132N2O34S2
hit structure
1:750571 C9H20N2O3
hit structure
1:750572 C6H13NO4
hit structure
1:750573 C6H10KN3O4
hit structure
1:750574 C32H53N7O8S
hit structure
1:750575 C38H57N9O9S
hit structure
1:750576 C32H50N4O8S
hit structure
1:750577 C27H49N7O7S
hit structure
1:750578 C27H42N8O7S
hit structure

1
  <<    <    >    >>  

entries in data collection: 751690