Home Browse Text SearchFunctional Group SearchStructure SearchPreferences Administration

selected data collection: 1

IRIS SDF: browse content


1
  <<    <    >    >>  

1:716786 C96H161F4NO40
hit structure
1:716787 C18H35NO8
hit structure
1:716788 C13H28N2O5
hit structure
1:716789 C15H32N2O6
hit structure
1:716790 C72H132N2O34S2
hit structure
1:716791 C9H20N2O3
hit structure
1:716792 C6H13NO4
hit structure
1:716793 C6H10KN3O4
hit structure
1:716794 C32H53N7O8S
hit structure
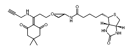
1:716795 C38H57N9O9S
hit structure
1:716796 C32H50N4O8S
hit structure
1:716797 C27H49N7O7S
hit structure
1:716798 C27H42N8O7S
hit structure
1:716799 C24H40N4O7S
hit structure
1:716800 C20H38N4O5S
hit structure
1:716801 C24H46N4O13
hit structure
1:716802 C11H21NO6
hit structure
1:716803 C29H52N8O8S3
hit structure
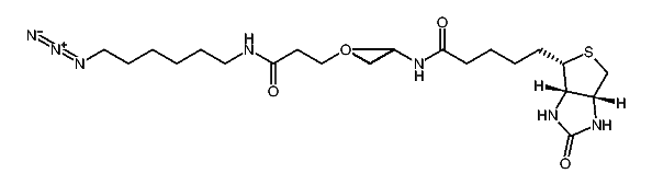
1:716804 C44H60N6O9S3
hit structure
1:716805 C13H26N4O5
hit structure
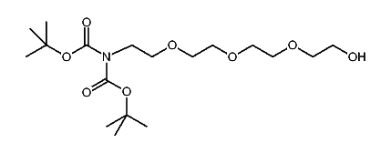
1:716806 C14H24O7
hit structure
1:716807 C25H31NO7
hit structure
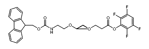
1:716808 C27H35NO8
hit structure
1:716809 C29H39NO9
hit structure
1:716810 C31H43NO10
hit structure

1
  <<    <    >    >>  

entries in data collection: 723540