Home Browse Text SearchFunctional Group SearchStructure SearchPreferences Administration

selected data collection: 1

IRIS SDF: browse content


1
  <<    <    >    >>  

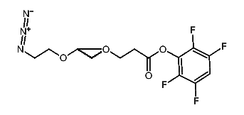
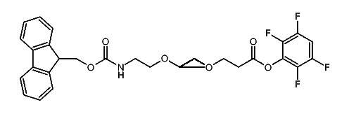
1:716761 C20H20F4N2O7
hit structure
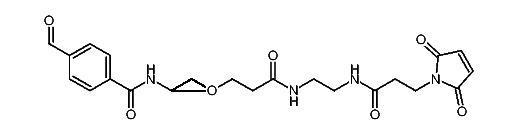
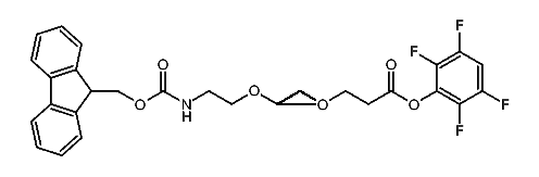
1:716762 C24H28F4N2O9
hit structure
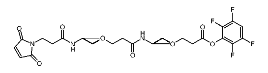
1:716763 C32H44F4N2O13
hit structure
1:716764 C40H60F4N2O17
hit structure
1:716765 C64H108F4N2O29
hit structure
1:716766 C88H156F4N2O41
hit structure
1:716767 C115H209F4N3O54
hit structure
1:716768 C19H24BrF4NO7
hit structure
1:716769 C35H56BrF4NO15
hit structure
1:716770 C59H104BrF4NO27
hit structure
1:716771 C44H70N4O18
hit structure
1:716772 C57H101F4N3O26
hit structure
1:716773 C81H149F4N3O38
hit structure
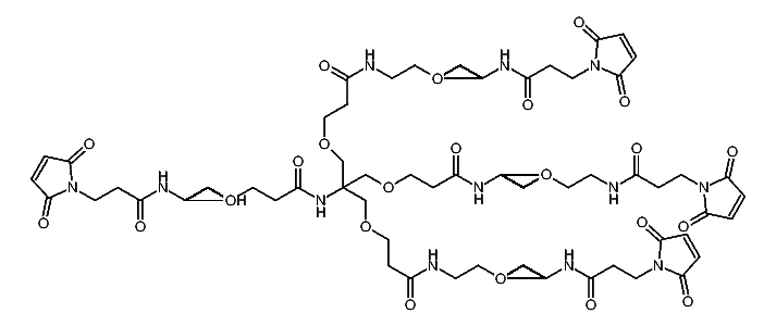
1:716774 C140H246N12O64
hit structure
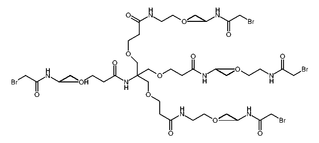
1:716775 C120H230Br4N8O56
hit structure
1:716776 C53H108N2O25
hit structure
1:716777 C26H45NO15
hit structure
1:716778 C58H109NO31
hit structure
1:716779 C67H117F4N3O28S
hit structure
1:716780 C31H44F4N4O9S
hit structure
1:716781 C47H76F4N4O17S
hit structure
1:716782 C32H33F4NO8
hit structure
1:716783 C40H49F4NO12
hit structure
1:716784 C48H65F4NO16
hit structure
1:716785 C72H113F4NO28
hit structure

1
  <<    <    >    >>  

entries in data collection: 723540