Home Browse Text SearchFunctional Group SearchStructure SearchPreferences Administration

selected data collection: 1

IRIS SDF: browse content


1
  <<    <    >    >>  

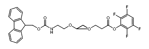
1:711152 C32H33F4NO8
hit structure
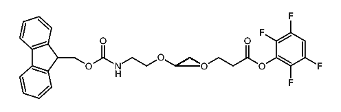
1:711153 C40H49F4NO12
hit structure
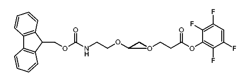
1:711154 C48H65F4NO16
hit structure
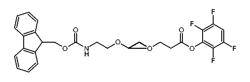
1:711155 C72H113F4NO28
hit structure
1:711156 C96H161F4NO40
hit structure
1:711157 C18H35NO8
hit structure
1:711158 C13H28N2O5
hit structure
1:711159 C15H32N2O6
hit structure
1:711160 C72H132N2O34S2
hit structure
1:711161 C9H20N2O3
hit structure
1:711162 C6H13NO4
hit structure
1:711163 C6H10KN3O4
hit structure
1:711164 C32H53N7O8S
hit structure
1:711165 C38H57N9O9S
hit structure
1:711166 C32H50N4O8S
hit structure
1:711167 C27H49N7O7S
hit structure
1:711168 C27H42N8O7S
hit structure
1:711169 C24H40N4O7S
hit structure
1:711170 C20H38N4O5S
hit structure
1:711171 C24H46N4O13
hit structure
1:711172 C11H21NO6
hit structure
1:711173 C29H52N8O8S3
hit structure
1:711174 C44H60N6O9S3
hit structure
1:711175 C13H26N4O5
hit structure
1:711176 C14H24O7
hit structure

1
  <<    <    >    >>  

entries in data collection: 712280