Home Browse Text SearchFunctional Group SearchStructure SearchPreferences Administration

selected data collection: 1

IRIS SDF: browse content


1
  <<    <    >    >>  

1:711127 C41H67F4NO15S2
hit structure
1:711128 C65H115F4NO27S2
hit structure
1:711129 C89H163F4NO39S2
hit structure
1:711130 C66H126N4O26S3
hit structure
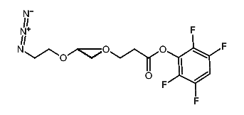
1:711131 C20H20F4N2O7
hit structure
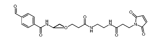
1:711132 C24H28F4N2O9
hit structure
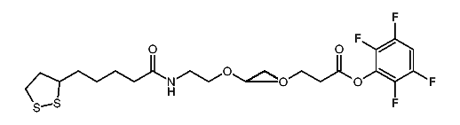
1:711133 C32H44F4N2O13
hit structure
1:711134 C40H60F4N2O17
hit structure
1:711135 C64H108F4N2O29
hit structure
1:711136 C88H156F4N2O41
hit structure
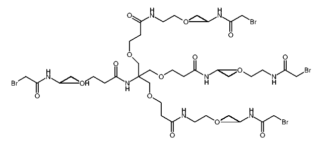
1:711137 C115H209F4N3O54
hit structure
1:711138 C19H24BrF4NO7
hit structure
1:711139 C35H56BrF4NO15
hit structure
1:711140 C59H104BrF4NO27
hit structure
1:711141 C44H70N4O18
hit structure
1:711142 C57H101F4N3O26
hit structure
1:711143 C81H149F4N3O38
hit structure
1:711144 C140H246N12O64
hit structure
1:711145 C120H230Br4N8O56
hit structure
1:711146 C53H108N2O25
hit structure
1:711147 C26H45NO15
hit structure
1:711148 C58H109NO31
hit structure
1:711149 C67H117F4N3O28S
hit structure
1:711150 C31H44F4N4O9S
hit structure
1:711151 C47H76F4N4O17S
hit structure

1
  <<    <    >    >>  

entries in data collection: 712280