Home Browse Text SearchFunctional Group SearchStructure SearchPreferences Administration

selected data collection: 1

IRIS SDF: browse content


1
  <<    <    >    >>  

1:694205 C25H28O3S
hit structure
1:694206 C103H205NO52
hit structure
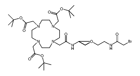
1:694207 C78H151BrN6O31
hit structure
1:694208 C117H214N2O53
hit structure
1:694209 C110H210N2O53
hit structure
1:694210 C102H204N2O51
hit structure
1:694211 C28H54Br2N2O13
hit structure
1:694212 C193H296N12O60
hit structure
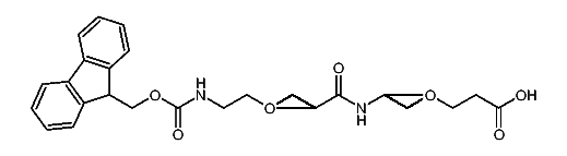
1:694213 C64H82N4O15
hit structure
1:694214 C93H184NO34P
hit structure
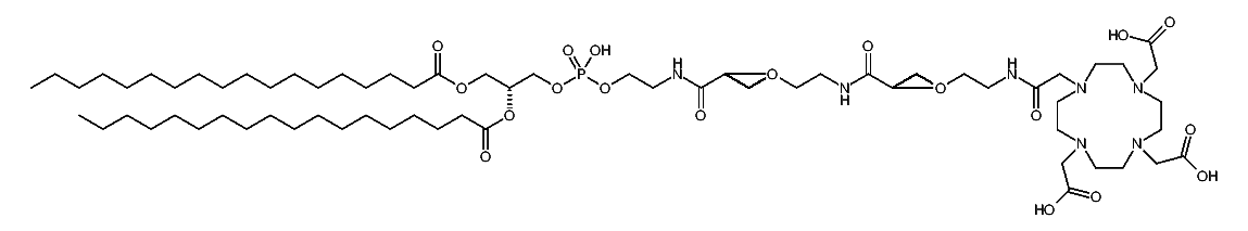
1:694215 C163H299N4O60P
hit structure
1:694216 C159H310N7O65P
hit structure
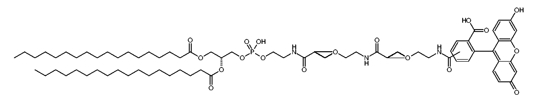
1:694217 C165H298N3O64P
hit structure
1:694218 C164H319N6O65PS
hit structure
1:694219 C201H390N5O86P
hit structure
1:694220 C237H460N12O112
hit structure
1:694221 C141H256N12O64
hit structure
1:694222 C10H19BrN4O4
hit structure
1:694223 C26H51BrN4O12
hit structure
1:694224 C50H99BrN4O24
hit structure
1:694225 C10H24N4O5S
hit structure
1:694226 C17H22F4O7
hit structure
1:694227 C33H54F4O15
hit structure
1:694228 C57H102F4O27
hit structure
1:694229 C94H149N5O39
hit structure

1
  <<    <    >    >>  

entries in data collection: 717910