Home Browse Text SearchFunctional Group SearchStructure SearchPreferences Administration

selected data collection: 1

IRIS SDF: browse content


1
  <<    <    >    >>  

1:694180 C61H105F4N5O21
hit structure
1:694181 C108H203F4NO51
hit structure
1:694182 C85H153F4N5O33
hit structure
1:694183 C53H105NO27
hit structure
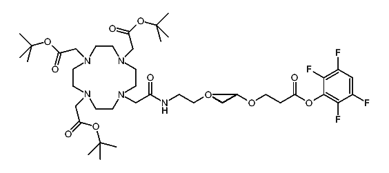
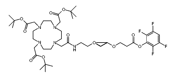
1:694184 C33H49F4N5O13
hit structure
1:694185 C59H105F4NO27
hit structure
1:694186 C49H81F4N5O21
hit structure
1:694187 C24H50N4O12
hit structure
1:694188 C73H129F4N5O33
hit structure
1:694189 C28H36F4N2O11
hit structure
1:694190 C59H107N7O21
hit structure
1:694191 C17H21F4N3O6
hit structure
1:694192 C33H53F4N3O14
hit structure
1:694193 C47H83N7O21
hit structure
1:694194 C86H159N3O43
hit structure
1:694195 C71H131N7O33
hit structure
1:694196 C28H56O15
hit structure
1:694197 C32H59NO17
hit structure
1:694198 C34H56F4O15
hit structure
1:694199 C150H289N4O61P
hit structure
1:694200 C30H49BrF6N6O15
hit structure
1:694201 C118H233N2O46P
hit structure
1:694202 C42H79BrN6O19
hit structure
1:694203 C144H285N2O59P
hit structure
1:694204 C109H205F4NO52
hit structure

1
  <<    <    >    >>  

entries in data collection: 717910