Home Browse Text SearchFunctional Group SearchStructure SearchPreferences Administration

selected data collection: 1

IRIS SDF: browse content


1
  <<    <    >    >>  

1:673493 C13H23NO4
hit structure
1:673494 C14H25NO4
hit structure
1:673495 C15H27NO4
hit structure
1:673496 C12H21NO5
hit structure
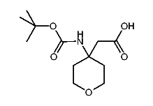
1:673497 C10H17NO4
hit structure
1:673498 C11H19NO4
hit structure
1:673499 C12H21NO4
hit structure
1:673500 C22H38N2O8
hit structure
1:673501 C26H42N2O8
hit structure
1:673502 C26H38N2O8
hit structure
1:673503 C28H50N2O8
hit structure
1:673504 C28H46N2O8
hit structure
1:673505 C24H42N2O8
hit structure
1:673506 C26H46N2O8
hit structure
1:673507 C26H46N2O8
hit structure
1:673508 C28H46N2O8
hit structure
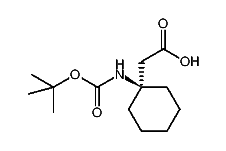
1:673509 C11H21NO4
hit structure
1:673510 C12H23NO4
hit structure
1:673511 C13H25NO4
hit structure
1:673512 C14H27NO4
hit structure
1:673513 C12H23NO4
hit structure
1:673514 C11H21NO4
hit structure
1:673515 C10H18ClNO4
hit structure
1:673516 C12H23NO4
hit structure
1:673517 C15H21NO4
hit structure

1
  <<    <    >    >>  

entries in data collection: 678500