Home Browse Text SearchFunctional Group SearchStructure SearchPreferences Administration

selected data collection: 1

IRIS SDF: browse content


1
  <<    <    >    >>  

1:673468 C16H29NO5
hit structure
1:673469 C16H21NO4
hit structure
1:673470 C16H21NO4
hit structure
1:673471 C16H27NO4
hit structure
1:673472 C32H42N2O8
hit structure
1:673473 C32H42N2O8
hit structure
1:673474 C15H21NO4
hit structure
1:673475 C15H21NO4
hit structure
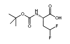
1:673476 C9H15F2NO4
hit structure
1:673477 C9H14F3NO4
hit structure
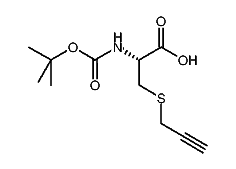
1:673478 C10H19NO4
hit structure
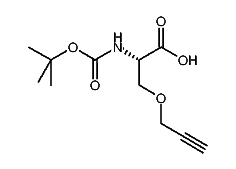
1:673479 C10H19NO4
hit structure
1:673480 C19H21NO4
hit structure
1:673481 C13H24N2O5S2
hit structure
1:673482 C9H15F2NO4
hit structure
1:673483 C14H28N2O4
hit structure
1:673484 C11H17NO4S
hit structure
1:673485 C10H15NO5
hit structure
1:673486 C11H17NO5
hit structure
1:673487 C17H21NO5
hit structure
1:673488 C14H19NO4
hit structure
1:673489 C14H19NO4
hit structure
1:673490 C14H19NO4
hit structure
1:673491 C22H34N2O8
hit structure
1:673492 C12H21NO4
hit structure

1
  <<    <    >    >>  

entries in data collection: 678500