Home Browse Text SearchFunctional Group SearchStructure SearchPreferences Administration

selected data collection: 1

IRIS SDF: browse content


1
  <<    <    >    >>  

1:673276 C12H20N2O6
hit structure
1:673277 C10H17BrN2O5
hit structure
1:673278 C14H18N4O8
hit structure
1:673279 C16H22N2O6
hit structure
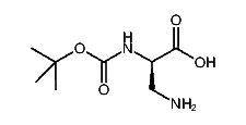
1:673280 C8H16N2O4
hit structure
1:673281 C22H24N2O6
hit structure
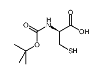
1:673282 C8H15NO4S
hit structure
1:673283 C19H30N2O6
hit structure
1:673284 C12H20N2O6
hit structure
1:673285 C12H20N2O6
hit structure
1:673286 C18H28N2O6
hit structure
1:673287 C14H18N4O8
hit structure
1:673288 C16H22N2O6
hit structure
1:673289 C8H16N2O4
hit structure
1:673290 C23H26N2O6
hit structure
1:673291 C25H30N2O6
hit structure
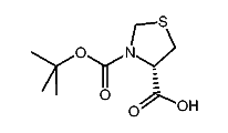
1:673292 C9H15NO4S
hit structure
1:673293 C17H20N2O4
hit structure
1:673294 C19H30N2O6
hit structure
1:673295 C15H20N4O8
hit structure
1:673296 C18H28N2O6
hit structure
1:673297 C11H19NO4
hit structure
1:673298 C20H32N2O6
hit structure
1:673299 C10H18N2O3
hit structure
1:673300 C15H21NO5
hit structure

1
  <<    <    >    >>  

entries in data collection: 678500