Home Browse Text SearchFunctional Group SearchStructure SearchPreferences Administration

selected data collection: 1

IRIS SDF: browse content


1
  <<    <    >    >>  

1:673251 C14H18FNO4
hit structure
1:673252 C14H19NO4
hit structure
1:673253 C13H17NO4
hit structure
1:673254 C11H19NO4
hit structure
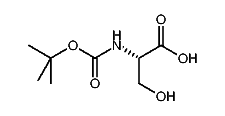
1:673255 C10H17NO4
hit structure
1:673256 C15H21NO5
hit structure
1:673257 C8H15NO5
hit structure
1:673258 C16H23NO5
hit structure
1:673259 C9H17NO5
hit structure
1:673260 C9H15NO4S
hit structure
1:673261 C15H19NO4
hit structure
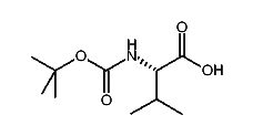
1:673262 C11H21NO4
hit structure
1:673263 C21H28N2O6
hit structure
1:673264 C17H20N2O5
hit structure
1:673265 C16H20N2O4
hit structure
1:673266 C22H24BrNO7
hit structure
1:673267 C17H23NO5
hit structure
1:673268 C21H25NO5
hit structure
1:673269 C14H19NO5
hit structure
1:673270 C10H19NO4
hit structure
1:673271 C11H19NO4
hit structure
1:673272 C18H23N3O6S
hit structure
1:673273 C17H19N5O8
hit structure
1:673274 C17H24N2O6
hit structure
1:673275 C12H20N2O6
hit structure

1
  <<    <    >    >>  

entries in data collection: 678500