Home Browse Text SearchFunctional Group SearchStructure SearchPreferences Administration

selected data collection: 1

IRIS SDF: browse content


1
  <<    <    >    >>  

1:670382 C16H30N2O4
hit structure
1:670383 C7H13NO2
hit structure
1:670384 C16H30N2O4
hit structure
1:670385 C14H22N2O4
hit structure
1:670386 C14H22N2O4
hit structure
1:670387 C18H30N2O4
hit structure
1:670388 C6H13NO2
hit structure
1:670389 C7H15NO2
hit structure
1:670390 C8H17NO2
hit structure
1:670391 C9H19NO2
hit structure
1:670392 C7H15NO2
hit structure
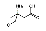
1:670393 C5H10ClNO2
hit structure
1:670394 C6H11NO2
hit structure
1:670395 C9H17NO2
hit structure
1:670396 C10H19NO2
hit structure
1:670397 C7H15NO2
hit structure
1:670398 C7H13NO2
hit structure
1:670399 C7H13NO3
hit structure
1:670400 C5H9NO2
hit structure
1:670401 C6H11NO2
hit structure
1:670402 C9H11NO2
hit structure
1:670403 C9H11NO2
hit structure
1:670404 C14H21N7O4
hit structure
1:670405 C6H10F3NO2
hit structure
1:670406 C12H12F3NO3
hit structure

1
  <<    <    >    >>  

entries in data collection: 678500