Home Browse Text SearchFunctional Group SearchStructure SearchPreferences Administration

selected data collection: 1

IRIS SDF: browse content


1
  <<    <    >    >>  

1:670357 C14H22N2O4
hit structure
1:670358 C18H30N2O4
hit structure
1:670359 C7H13NO2
hit structure
1:670360 C6H13NO2
hit structure
1:670361 C7H15NO2
hit structure
1:670362 C8H17NO2
hit structure
1:670363 C9H19NO2
hit structure
1:670364 C7H15NO2
hit structure
1:670365 C6H13NO2
hit structure
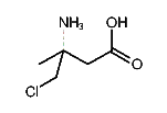
1:670366 C5H10ClNO2
hit structure
1:670367 C9H17NO2
hit structure
1:670368 C10H19NO2
hit structure
1:670369 C7H15NO2
hit structure
1:670370 C7H13NO2
hit structure
1:670371 C7H13NO3
hit structure
1:670372 C5H9NO2
hit structure
1:670373 C6H11NO2
hit structure
1:670374 C16H26N2O4
hit structure
1:670375 C16H22N2O4
hit structure
1:670376 C18H34N2O4
hit structure
1:670377 C18H30N2O4
hit structure
1:670378 C8H15NO2
hit structure
1:670379 C7H13NO2
hit structure
1:670380 C12H18N2O4
hit structure
1:670381 C14H26N2O4
hit structure

1
  <<    <    >    >>  

entries in data collection: 678500