Home Browse Text SearchFunctional Group SearchStructure SearchPreferences Administration

selected data collection: 1

IRIS SDF: browse content


1
  <<    <    >    >>  

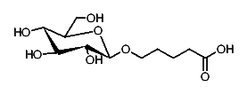
1:670032 C15H26O9
hit structure
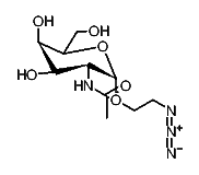
1:670033 C8H15N3O6
hit structure
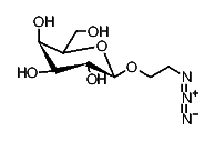
1:670034 C8H15N3O6
hit structure
1:670035 C8H15N3O6
hit structure
1:670036 C10H18N4O6
hit structure
1:670037 C14H25N3O11
hit structure
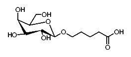
1:670038 C15H28O11
hit structure
1:670039 C17H31NO11
hit structure
1:670040 C17H31NO11
hit structure
1:670041 C15H28O11
hit structure
1:670042 C11H20O8
hit structure
1:670043 C11H20O8
hit structure
1:670044 C13H23NO8
hit structure
1:670045 C13H23NO8
hit structure
1:670046 C11H20O8
hit structure
1:670047 C31H36N6O7
hit structure
1:670048 C15H15Cl2N5O6
hit structure
1:670049 C28H31ClN6O7
hit structure
1:670050 C28H31ClN6O7
hit structure
1:670051 C22H24N2O9S
hit structure
1:670052 C24H28FN3O10
hit structure
1:670053 C30H42N2O11
hit structure
1:670054 C30H34N2O10
hit structure
1:670055 C21H32O11
hit structure
1:670056 C30H48N8O10
hit structure

1
  <<    <    >    >>  

entries in data collection: 672870