Home Browse Text SearchFunctional Group SearchStructure SearchPreferences Administration

selected data collection: 1

IRIS SDF: browse content


1
  <<    <    >    >>  

1:670007 C33H37N3O13
hit structure
1:670008 C32H36N2O13
hit structure
1:670009 C56H65N3O24
hit structure
1:670010 C33H38N2O13
hit structure
1:670011 C44H52N2O21
hit structure
1:670012 C45H54N2O21
hit structure
1:670013 C32H36N2O13
hit structure
1:670014 C6H12O6
hit structure
1:670015 C33H36N2O14
hit structure
1:670016 C32H35NO14
hit structure
1:670017 C32H35NO14
hit structure
1:670018 C33H37NO14
hit structure
1:670019 C33H38N2O13
hit structure
1:670020 C9H18O5S
hit structure
1:670021 C14H26N4O8
hit structure
1:670022 C17H29NO9
hit structure
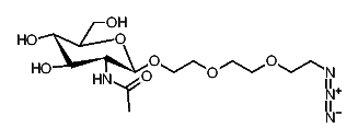
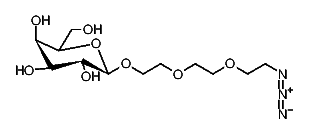
1:670023 C12H23N3O8
hit structure
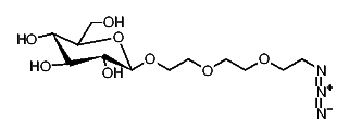
1:670024 C15H26O9
hit structure
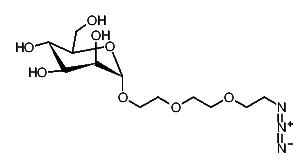
1:670025 C12H23N3O8
hit structure
1:670026 C15H26O9
hit structure
1:670027 C14H26N4O8
hit structure
1:670028 C17H29NO9
hit structure
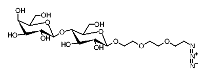
1:670029 C18H33N3O13
hit structure
1:670030 C21H36O14
hit structure
1:670031 C12H23N3O8
hit structure

1
  <<    <    >    >>  

entries in data collection: 672870