Home Browse Text SearchFunctional Group SearchStructure SearchPreferences Administration

selected data collection: 1

IRIS SDF: browse content


1
  <<    <    >    >>  

1:666099 C35H56BrF4NO15
hit structure
1:666100 C59H104BrF4NO27
hit structure
1:666101 C44H70N4O18
hit structure
1:666102 C57H101F4N3O26
hit structure
1:666103 C81H149F4N3O38
hit structure
1:666104 C140H246N12O64
hit structure
1:666105 C120H230Br4N8O56
hit structure
1:666106 C53H108N2O25
hit structure
1:666107 C26H45NO15
hit structure
1:666108 C58H109NO31
hit structure
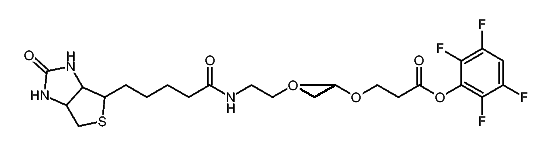
1:666109 C67H117F4N3O28S
hit structure
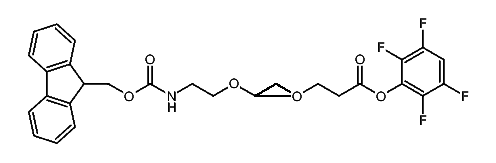
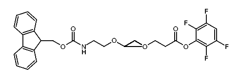
1:666110 C31H44F4N4O9S
hit structure
1:666111 C47H76F4N4O17S
hit structure
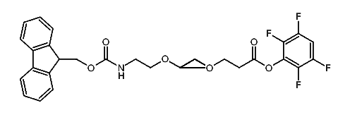
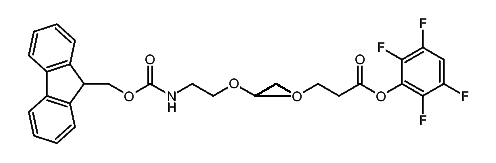
1:666112 C32H33F4NO8
hit structure
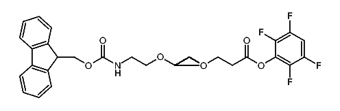
1:666113 C40H49F4NO12
hit structure
1:666114 C48H65F4NO16
hit structure
1:666115 C72H113F4NO28
hit structure
1:666116 C96H161F4NO40
hit structure
1:666117 C18H35NO8
hit structure
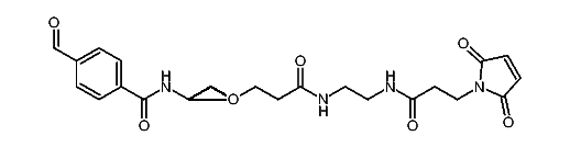
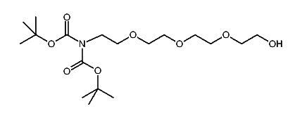
1:666118 C13H28N2O5
hit structure
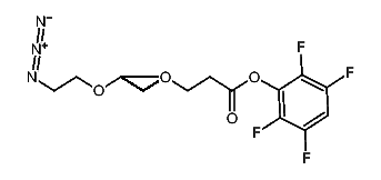
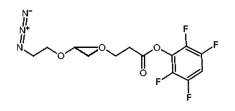
1:666119 C15H32N2O6
hit structure
1:666120 C72H132N2O34S2
hit structure
1:666121 C9H20N2O3
hit structure
1:666122 C6H13NO4
hit structure
1:666123 C6H10KN3O4
hit structure

1
  <<    <    >    >>  

entries in data collection: 673521