Home Browse Text SearchFunctional Group SearchStructure SearchPreferences Administration

selected data collection: 1

IRIS SDF: browse content


1
  <<    <    >    >>  

1:666074 C50H99BrN4O24
hit structure
1:666075 C10H24N4O5S
hit structure
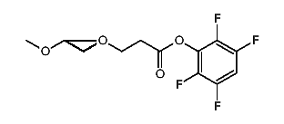
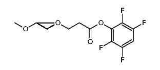
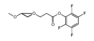
1:666076 C17H22F4O7
hit structure
1:666077 C33H54F4O15
hit structure
1:666078 C57H102F4O27
hit structure
1:666079 C94H149N5O39
hit structure
1:666080 C32H52F4O14
hit structure
1:666081 C56H100F4O26
hit structure
1:666082 C58H104F4O27
hit structure
1:666083 C68H114N2O26
hit structure
1:666084 C45H68N2O14
hit structure
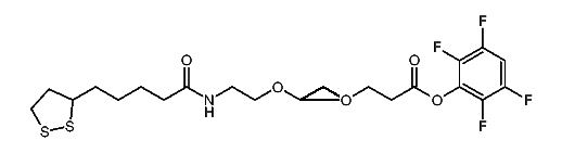
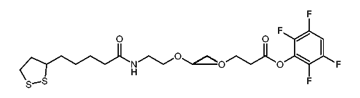
1:666085 C25H35F4NO7S2
hit structure
1:666086 C33H51F4NO11S2
hit structure
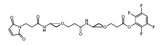
1:666087 C41H67F4NO15S2
hit structure
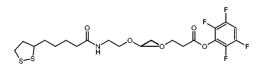
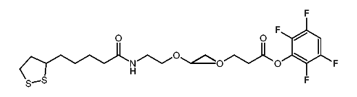
1:666088 C65H115F4NO27S2
hit structure
1:666089 C89H163F4NO39S2
hit structure
1:666090 C66H126N4O26S3
hit structure
1:666091 C20H20F4N2O7
hit structure
1:666092 C24H28F4N2O9
hit structure
1:666093 C32H44F4N2O13
hit structure
1:666094 C40H60F4N2O17
hit structure
1:666095 C64H108F4N2O29
hit structure
1:666096 C88H156F4N2O41
hit structure
1:666097 C115H209F4N3O54
hit structure
1:666098 C19H24BrF4NO7
hit structure

1
  <<    <    >    >>  

entries in data collection: 672870