Home Browse Text SearchFunctional Group SearchStructure SearchPreferences Administration

selected data collection: 1

IRIS SDF: browse content


1
  <<    <    >    >>  

1:660443 C26H51BrN4O12
hit structure
1:660444 C50H99BrN4O24
hit structure
1:660445 C10H24N4O5S
hit structure
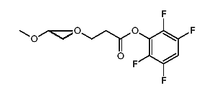
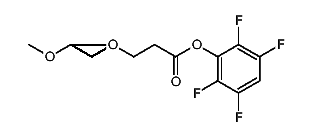
1:660446 C17H22F4O7
hit structure
1:660447 C33H54F4O15
hit structure
1:660448 C57H102F4O27
hit structure
1:660449 C94H149N5O39
hit structure
1:660450 C32H52F4O14
hit structure
1:660451 C56H100F4O26
hit structure
1:660452 C58H104F4O27
hit structure
1:660453 C68H114N2O26
hit structure
1:660454 C45H68N2O14
hit structure
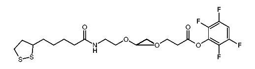
1:660455 C25H35F4NO7S2
hit structure
1:660456 C33H51F4NO11S2
hit structure
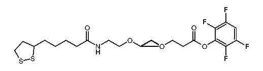
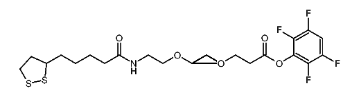
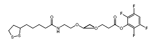
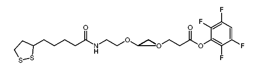
1:660457 C41H67F4NO15S2
hit structure
1:660458 C65H115F4NO27S2
hit structure
1:660459 C89H163F4NO39S2
hit structure
1:660460 C66H126N4O26S3
hit structure
1:660461 C20H20F4N2O7
hit structure
1:660462 C24H28F4N2O9
hit structure
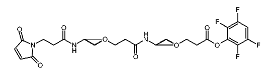
1:660463 C32H44F4N2O13
hit structure
1:660464 C40H60F4N2O17
hit structure
1:660465 C64H108F4N2O29
hit structure
1:660466 C88H156F4N2O41
hit structure
1:660467 C115H209F4N3O54
hit structure

1
  <<    <    >    >>  

entries in data collection: 661610