Home Browse Text SearchFunctional Group SearchStructure SearchPreferences Administration

selected data collection: 1

IRIS SDF: browse content


1
  <<    <    >    >>  

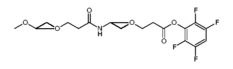
1:660418 C34H56F4O15
hit structure
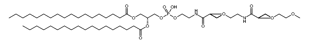
1:660419 C150H289N4O61P
hit structure
1:660420 C30H49BrF6N6O15
hit structure
1:660421 C118H233N2O46P
hit structure
1:660422 C42H79BrN6O19
hit structure
1:660423 C144H285N2O59P
hit structure
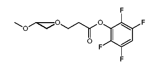
1:660424 C109H205F4NO52
hit structure
1:660425 C25H28O3S
hit structure
1:660426 C103H205NO52
hit structure
1:660427 C78H151BrN6O31
hit structure
1:660428 C117H214N2O53
hit structure
1:660429 C110H210N2O53
hit structure
1:660430 C102H204N2O51
hit structure
1:660431 C28H54Br2N2O13
hit structure
1:660432 C193H296N12O60
hit structure
1:660433 C64H82N4O15
hit structure
1:660434 C93H184NO34P
hit structure
1:660435 C163H299N4O60P
hit structure
1:660436 C159H310N7O65P
hit structure
1:660437 C165H298N3O64P
hit structure
1:660438 C164H319N6O65PS
hit structure
1:660439 C201H390N5O86P
hit structure
1:660440 C237H460N12O112
hit structure
1:660441 C141H256N12O64
hit structure
1:660442 C10H19BrN4O4
hit structure

1
  <<    <    >    >>  

entries in data collection: 661610