Home Browse Text SearchFunctional Group SearchStructure SearchPreferences Administration

selected data collection: 1

IRIS SDF: browse content


1
  <<    <    >    >>  

1:649204 C40H60F4N2O17
hit structure
1:649205 C64H108F4N2O29
hit structure
1:649206 C88H156F4N2O41
hit structure
1:649207 C115H209F4N3O54
hit structure
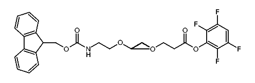
1:649208 C19H24BrF4NO7
hit structure
1:649209 C35H56BrF4NO15
hit structure
1:649210 C59H104BrF4NO27
hit structure
1:649211 C44H70N4O18
hit structure
1:649212 C57H101F4N3O26
hit structure
1:649213 C81H149F4N3O38
hit structure
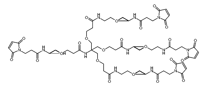
1:649214 C140H246N12O64
hit structure
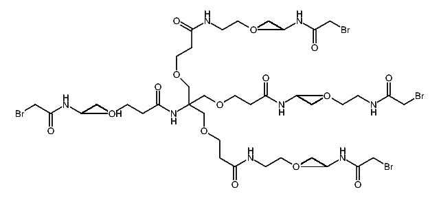
1:649215 C120H230Br4N8O56
hit structure
1:649216 C53H108N2O25
hit structure
1:649217 C26H45NO15
hit structure
1:649218 C58H109NO31
hit structure
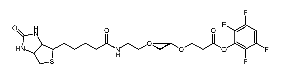
1:649219 C67H117F4N3O28S
hit structure
1:649220 C31H44F4N4O9S
hit structure
1:649221 C47H76F4N4O17S
hit structure
1:649222 C32H33F4NO8
hit structure
1:649223 C40H49F4NO12
hit structure
1:649224 C48H65F4NO16
hit structure
1:649225 C72H113F4NO28
hit structure
1:649226 C96H161F4NO40
hit structure
1:649227 C18H35NO8
hit structure
1:649228 C13H28N2O5
hit structure

1
  <<    <    >    >>  

entries in data collection: 650350