Home Browse Text SearchFunctional Group SearchStructure SearchPreferences Administration

selected data collection: 1

IRIS SDF: browse content


1
  <<    <    >    >>  

1:649179 C201H390N5O86P
hit structure
1:649180 C237H460N12O112
hit structure
1:649181 C141H256N12O64
hit structure
1:649182 C10H19BrN4O4
hit structure
1:649183 C26H51BrN4O12
hit structure
1:649184 C50H99BrN4O24
hit structure
1:649185 C10H24N4O5S
hit structure
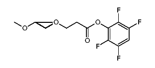
1:649186 C17H22F4O7
hit structure
1:649187 C33H54F4O15
hit structure
1:649188 C57H102F4O27
hit structure
1:649189 C94H149N5O39
hit structure
1:649190 C32H52F4O14
hit structure
1:649191 C56H100F4O26
hit structure
1:649192 C58H104F4O27
hit structure
1:649193 C68H114N2O26
hit structure
1:649194 C45H68N2O14
hit structure
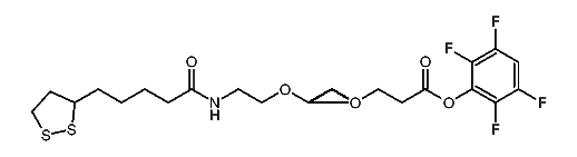
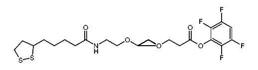
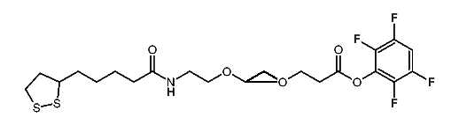
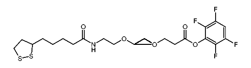
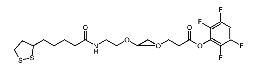
1:649195 C25H35F4NO7S2
hit structure
1:649196 C33H51F4NO11S2
hit structure
1:649197 C41H67F4NO15S2
hit structure
1:649198 C65H115F4NO27S2
hit structure
1:649199 C89H163F4NO39S2
hit structure
1:649200 C66H126N4O26S3
hit structure
1:649201 C20H20F4N2O7
hit structure
1:649202 C24H28F4N2O9
hit structure
1:649203 C32H44F4N2O13
hit structure

1
  <<    <    >    >>  

entries in data collection: 650350