Home Browse Text SearchFunctional Group SearchStructure SearchPreferences Administration

selected data collection: 1

IRIS SDF: browse content


1
  <<    <    >    >>  

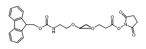
1:632107 C24H29NO7
hit structure
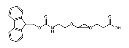
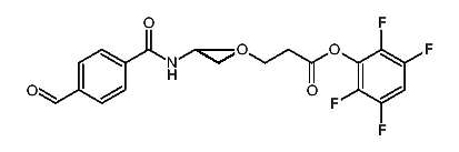
1:632108 C28H37NO9
hit structure
1:632109 C90H161NO40
hit structure
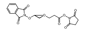
1:632110 C30H36N2O10
hit structure
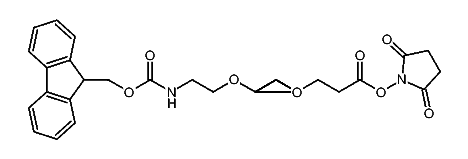
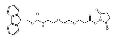
1:632111 C38H52N2O14
hit structure
1:632112 C46H68N2O18
hit structure
1:632113 C42H59N5O11S
hit structure
1:632114 C58H91N5O19S
hit structure
1:632115 C56H111NO28
hit structure
1:632116 C80H159NO40
hit structure
1:632117 C83H157NO40
hit structure
1:632118 C47H70O15S
hit structure
1:632119 C39H60N2O19
hit structure
1:632120 C26H29NO4
hit structure
1:632121 C29H60N2O14
hit structure
1:632122 C34H66N4O14S
hit structure
1:632123 C41H59F4NO16
hit structure
1:632124 C65H107F4NO28
hit structure
1:632125 C34H65N3O13S2
hit structure
1:632126 C12H15NO5
hit structure
1:632127 C16H20N2O2S4
hit structure
1:632128 C16H20N2O2S4
hit structure
1:632129 C16H20N2O2S4
hit structure
1:632130 C16H20N2O2S4
hit structure
1:632131 C16H20N2O2S4
hit structure

1
  <<    <    >    >>  

entries in data collection: 633460