Home Browse Text SearchFunctional Group SearchStructure SearchPreferences Administration

selected data collection: 1

IRIS SDF: browse content


1
  <<    <    >    >>  

1:632082 C87H161N3O41S2
hit structure
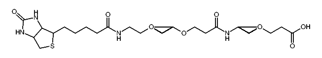
1:632083 C26H40N2O15
hit structure
1:632084 C38H64N2O21
hit structure
1:632085 C46H80N2O25
hit structure
1:632086 C54H96N2O29
hit structure
1:632087 C62H112N2O33
hit structure
1:632088 C24H22F8O8
hit structure
1:632089 C66H106F8O29
hit structure
1:632090 C16H20N2O10
hit structure
1:632091 C18H24N2O11
hit structure
1:632092 C19H37N3O10
hit structure
1:632093 C27H53N3O14
hit structure
1:632094 C51H101N3O26
hit structure
1:632095 C24H49N3O11
hit structure
1:632096 C32H65N3O15
hit structure
1:632097 C65H120N4O30S
hit structure
1:632098 C61H117N3O28S
hit structure
1:632099 C112H218N4O53S
hit structure
1:632100 C26H50N4O9S
hit structure
1:632101 C34H66N4O13S
hit structure
1:632102 C58H114N4O25S
hit structure
1:632103 C65H119N5O28S
hit structure
1:632104 C26H48N6O9S
hit structure
1:632105 C34H64N6O13S
hit structure
1:632106 C58H112N6O25S
hit structure

1
  <<    <    >    >>  

entries in data collection: 633460