Home Browse Text SearchFunctional Group SearchStructure SearchPreferences Administration

selected data collection: 1

IRIS SDF: browse content


1
  <<    <    >    >>  

1:620821 C22H36N2O11
hit structure
1:620822 C87H161N3O41S2
hit structure
1:620823 C26H40N2O15
hit structure
1:620824 C38H64N2O21
hit structure
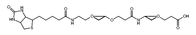
1:620825 C46H80N2O25
hit structure
1:620826 C54H96N2O29
hit structure
1:620827 C62H112N2O33
hit structure
1:620828 C24H22F8O8
hit structure
1:620829 C66H106F8O29
hit structure
1:620830 C16H20N2O10
hit structure
1:620831 C18H24N2O11
hit structure
1:620832 C19H37N3O10
hit structure
1:620833 C27H53N3O14
hit structure
1:620834 C51H101N3O26
hit structure
1:620835 C24H49N3O11
hit structure
1:620836 C32H65N3O15
hit structure
1:620837 C65H120N4O30S
hit structure
1:620838 C61H117N3O28S
hit structure
1:620839 C112H218N4O53S
hit structure
1:620840 C26H50N4O9S
hit structure
1:620841 C34H66N4O13S
hit structure
1:620842 C58H114N4O25S
hit structure
1:620843 C65H119N5O28S
hit structure
1:620844 C26H48N6O9S
hit structure
1:620845 C34H64N6O13S
hit structure

1
  <<    <    >    >>  

entries in data collection: 627830