Home Browse Text SearchFunctional Group SearchStructure SearchPreferences Administration

selected data collection: 1

IRIS SDF: browse content


1
  <<    <    >    >>  

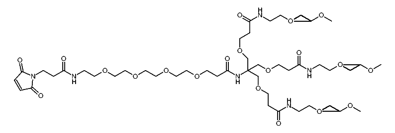
1:620796 C178H346N6O86
hit structure
1:620797 C73H147N3O36
hit structure
1:620798 C27H54O14S
hit structure
1:620799 C9H20O4S
hit structure
1:620800 C17H36O8S
hit structure
1:620801 C25H52O12S
hit structure
1:620802 C19H35NO7S2
hit structure
1:620803 C27H51NO11S2
hit structure
1:620804 C59H115NO27S2
hit structure
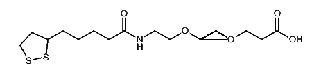
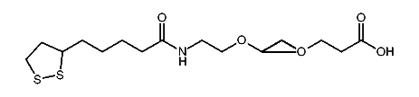
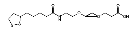
1:620805 C25H41N3O7S2
hit structure
1:620806 C39H69N3O15S2
hit structure
1:620807 C28H50N4O6S3
hit structure
1:620808 C42H78N4O14S3
hit structure
1:620809 C17H33NO5S2
hit structure
1:620810 C25H49NO9S2
hit structure
1:620811 C33H65NO13S2
hit structure
1:620812 C57H113NO25S2
hit structure
1:620813 C33H59NO17S
hit structure
1:620814 C79H159NO38
hit structure
1:620815 C48H99NO24
hit structure
1:620816 C72H147NO36
hit structure
1:620817 C8H17N3O4
hit structure
1:620818 C48H97N3O24
hit structure
1:620819 C72H145N3O36
hit structure
1:620820 C26H52O13S
hit structure

1
  <<    <    >    >>  

entries in data collection: 627830