Home Browse Text SearchFunctional Group SearchStructure SearchPreferences Administration

selected data collection: 1

IRIS SDF: browse content


1
  <<    <    >    >>  

1:612519 C33H40N2O6
hit structure
1:612520 C23H20N2O4
hit structure
1:612521 C26H22N2O4
hit structure
1:612522 C21H22N2O5S
hit structure
1:612523 C18H17NO5
hit structure
1:612524 C23H27NO5
hit structure
1:612525 C19H19NO5
hit structure
1:612526 C22H25NO4
hit structure
1:612527 C22H25NO4
hit structure
1:612528 C21H23NO4
hit structure
1:612529 C26H25NO5
hit structure
1:612530 C27H27NO5
hit structure
1:612531 C18H17NO4
hit structure
1:612532 C23H28N2O4
hit structure
1:612533 C24H31ClN2O4
hit structure
1:612534 C19H19NO5
hit structure
1:612535 C32H42N4O8
hit structure
1:612536 C35H42N4O7S
hit structure
1:612537 C29H38N2O8
hit structure
1:612538 C25H23NO4
hit structure
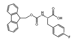
1:612539 C24H20FNO4
hit structure
1:612540 C27H24N2O4
hit structure
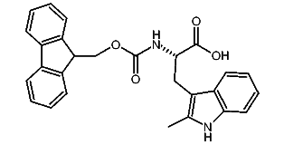
1:612541 C19H18N2O5
hit structure
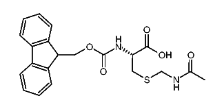
1:612542 C22H25NO4S2
hit structure
1:612543 C18H17NO5
hit structure

1
  <<    <    >    >>  

entries in data collection: 622200